试题详情
首页
考试分类
首页
公安政法干警
政法干警
单选题
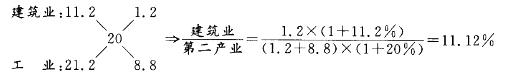
2009年,某省第二产业增长20%。其中,工业增长21.2%,建筑业增长11.2%。请问2009年该省建筑业占第二产业的比重为多少?( )
A
10. 07%
B
11. 12%
C
12.00%
D
12.97%
查看答案
正确答案
答案解析
利用“十字交叉法”进行求解:
相关试题
首页
每日一练
打赏一下
浏览记录