单选题
资本市场线在以预期收益和标准差为坐标轴的平面上,表示风险资产的最优组合与一种无风险资产再组合的组合线。下列各项中属于资本市场线方程中的参数的是( )
(1)市场组合的期望收益率
(2)无风险利率
(3)市场组合的标准差
(4)风险资产之间的协方差
A(1)(2)(3)
B(2)(3)(4)
C(1)(2)(4)
D(1)(2)(3)(4)
正确答案
答案解析
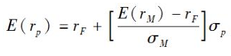
资本市场的方程为;其中,E(rβ)为有效组合P的期望收益率;QP为有效组合P的标准;E(rm)为市场组合M的期望收益率:σM为市场组合m的标准差:rf为无风险证券收益率
其中,E(rβ)为有效组合P的期望收益率;QP为有效组合P的标准;E(rm)为市场组合M的期望收益率:σM为市场组合m的标准差:rf为无风险证券收益率