试题详情
首页
考试分类
首页
证券分析师
发布证券研究报告业务
单选题
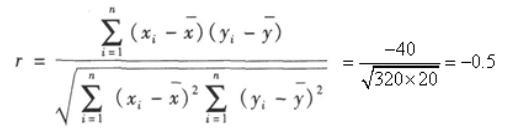
已知变量X和Y的协方差为-40, X的方差为320, Y的方差为20,其相关系数为( )。
A
0.5
B
-0.5
C
0.01
D
-0.01
查看答案
正确答案
答案解析
随机变量X和Y的相关系数为:
相关试题
首页
每日一练
打赏一下
浏览记录