试题详情
首页
考试分类
首页
证券分析师
发布证券研究报告业务
单选题
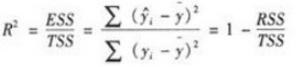
样本判定系数R2的计算公式是( )。
A
A
B
B
C
C
D
D
查看答案
正确答案
答案解析
反映回归直线与样本观察值拟合程度的量是拟合优度,又称样“可决系数”,本常用R^2表示。其计算公式为:
相关试题
首页
每日一练
打赏一下
浏览记录