单选题
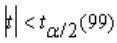
从一批零件中抽出100个测量其直径,测得平均直径为5.2cm,标准差为1.6cm,想知道这批零件的直径是否服从标准直径5cm,因此采用t检验法,那么在显著性水平α下,接受域为( )。

AA
BB
CC
DD
正确答案
答案解析
采用,检验法进行双边检验时,因为,所以在显著性水平“下,接受域为
AA
BB
CC
DD
采用,检验法进行双边检验时,因为,所以在显著性水平“下,接受域为