单选题
回归系数βi在(1-α)%的置信水平下的置信区间为( )。

AA
BB
CC
DD
正确答案
答案解析
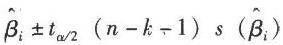
除了对回归系数进行检验外,还可以求出各回归系数的置信区间。一般回归系数βi在(1-α)%的置信水平下的置信区间为:其中,
为回归系数估计值,n为样本数,k为自变量个数。
AA
BB
CC
DD
除了对回归系数进行检验外,还可以求出各回归系数的置信区间。一般回归系数βi在(1-α)%的置信水平下的置信区间为:其中,
为回归系数估计值,n为样本数,k为自变量个数。