单选题
对某单位职工的文化程度进行抽样调查,得知其中80%的人是高中毕业,抽样平均误差为2%,当置信度为95.45%时(z=2),该单位职工中具有高中文化程度的比重是( )。
A大于84%
B等于78%
C在76%~84%之间
D在78%~82%之间
正确答案
答案解析
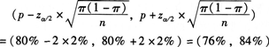
该单位职工中具有高中文化程度的比重的置信区间为:
A大于84%
B等于78%
C在76%~84%之间
D在78%~82%之间
该单位职工中具有高中文化程度的比重的置信区间为: