试题详情
首页
考试分类
首页
统计师
(初级) 统计基础理论及相关知识
单选题
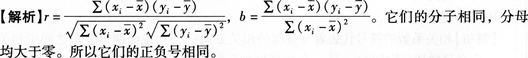
相关系数r与回归系数b的关系为()。
A
A
B
B
C
C
D
D
查看答案
正确答案
答案解析
相关试题
首页
每日一练
打赏一下
浏览记录