试题详情
首页
考试分类
首页
注册结构工程师
(结构) 专业基础考试一级
单选题
某墙下条形基础,顶面的中心荷载F=180kN/m,基础埋深d=1.0m,修正后的地基承载力特征值fa=180kPa,则该基础的最小底面宽度为( )m。
A
1.08
B
1.10
C
1.13
D
1.21
查看答案
正确答案
答案解析
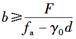
基础底面宽度应满足:
故该基础的最小底面宽度为:
相关试题
首页
每日一练
打赏一下
浏览记录