单选题
已知某桩基的单桩竖向承载力特征值Ra=600kN,桩截面直径d=500mm,埋深D=1m,桩间距取3d,最外一根桩中心至承台边缘距离为d,上部结构传至桩基承台顶面轴向力标准值Fk=2000kN,桩的根数至少为( )根。
A3
B4
C5
D6
正确答案
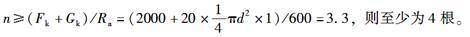
答案解析
轴心竖向力作用下,单桩竖向承载力应满足的条件是Qk≤Ra,标准组合轴心力作用下任一根单桩的竖向力:Qk=(Fk+Gk)/n,Gk=γmAD。
