单选题
已知一个土样,测得天然重度γ=17kN/m3,干重度γd=13kN/m3,饱和重度γsat=18.2kN/m3,则该土样的天然含水量为( )。(水重度γw=10kN/m3)
A28.6%
B30.6%
C30.8%
D40%
正确答案
答案解析
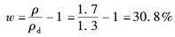
天然含水量是指天然状态下土中水的质量与土粒质量之比,一般用w表示,以百分数计。由题意可知,密度ρ=γ/g=17/10=1.7KN/m3,同理干密度ρd=γd/g=13/10=1.3KN/m3,故天然含水量
