单选题
已知甲、乙两个土样的物理性质试验结果如表所示。
则下列结论正确的是( )。
则下列结论正确的是( )。A甲土样比乙土样的黏粒含量多
B甲土样的天然密度比乙土样小
C甲土样的干密度小于乙土样
D甲土样的天然孔隙比小于乙土样
正确答案
答案解析
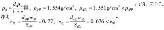
塑性指数Ip甲=wL甲-wp甲=17.5,Ip乙=wL乙-wp乙=7.7<Ip甲,塑性指数越大,相对黏粒含量越多;B项,天然密度ρ=ρd(1+w),故ρ甲=1.989g/cm3,ρ乙=1.954g/cm3<ρ甲;C项,由干密度
