单选题
某工程项目包括8个作业A~H。各作业的紧前作业、所需天数、所需人数见下表:
该项目共有10人,各作业必须连续进行,至少需要()天才能完成。
该项目共有10人,各作业必须连续进行,至少需要()天才能完成。A11
B12
C13
D14
正确答案
答案解析
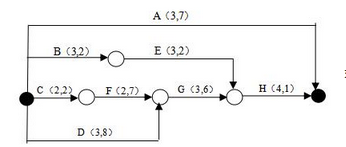
该项目的进度计划网络图如下,各作业上标注了“作业名(天数,人数)”如果不考虑人数的限制,关键路径为C-F-G-H,该项目共需2+2+3+4=11天。作业D必须在作业G前完成,但D不能与F并行(DF人数超过10),所以只能CD 并行2天,F推迟1天开始,导致该项目总天数延长1天。作业B可以在作业C完成后立即开始,并与F并行2天。作业E将与作业G并行。作业A可以与作业H并行。考虑到人数分配的平衡性,可以让AH同时开始。这样,整个项目最后1天只需1人,其他人可以转做别的项目。
如果不考虑人数的限制,关键路径为C-F-G-H,该项目共需2+2+3+4=11天。作业D必须在作业G前完成,但D不能与F并行(DF人数超过10),所以只能CD 并行2天,F推迟1天开始,导致该项目总天数延长1天。作业B可以在作业C完成后立即开始,并与F并行2天。作业E将与作业G并行。作业A可以与作业H并行。考虑到人数分配的平衡性,可以让AH同时开始。这样,整个项目最后1天只需1人,其他人可以转做别的项目。