试题详情
首页
考试分类
首页
土木工程师(水利水电)
专业基础知识(水利水电)
单选题
A
112.4
B
116.9
C
337.2
D
350.6
查看答案
正确答案
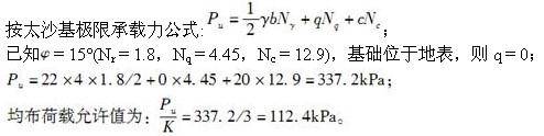
答案解析
相关试题
首页
每日一练
打赏一下
浏览记录