试题详情
首页
考试分类
首页
公用设备工程师
专业基础知识(暖通空调+动力)
单选题
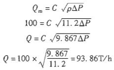
A
113.59
B
88.1
C
106.54
D
93.86
查看答案
正确答案
答案解析
相关试题
首页
每日一练
打赏一下
浏览记录