试题详情
首页
考试分类
首页
公用设备工程师
专业案例(暖通空调专业)
单选题
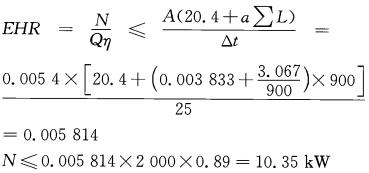
热水供热系统设计热负荷为2000kW,设计供回水温度为85℃/60℃,主干线总长为900m,循环水泵电动机采用直连方式,水泵在设计工况点的轴功率合理的是( )。
A
13kW
B
12kW
C
11kW
D
10kW
查看答案
正确答案
答案解析
相关试题
首页
每日一练
打赏一下
浏览记录