试题详情
首页
考试分类
首页
公用设备工程师
专业案例(暖通空调专业)
单选题
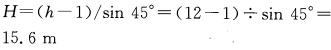
某单层丙类厂房设置有室内消火栓,该厂房层高为12m,当水枪的上倾角为45°时,满足规范规定的水枪的充实水柱长度应为( )。
A
6~8m
B
9~11m
C
12~14m
D
15~17m
查看答案
正确答案
答案解析
相关试题
首页
每日一练
打赏一下
浏览记录