试题详情
首页
考试分类
首页
公用设备工程师
专业案例(暖通空调专业)
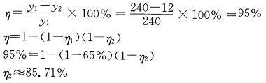
单选题
A
70%
B
80%
C
82%
D
86%
查看答案
正确答案
答案解析
相关试题
首页
每日一练
打赏一下
浏览记录