试题详情
首页
考试分类
首页
公用设备工程师
专业案例(暖通空调专业)
单选题
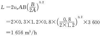
有一酸性溶液槽,槽长A=1.2m,槽宽B=0.8m,溶液温度等于室温(常温)。设计采用E×F为250mm×250mm标准断面的双侧罩,当要求控制风速vx=0.3m/s时,总排风量为( )。
A
B
C
D
查看答案
正确答案
答案解析
相关试题
首页
每日一练
打赏一下
浏览记录