试题详情
首页
考试分类
首页
公用设备工程师
专业案例(动力专业)
单选题
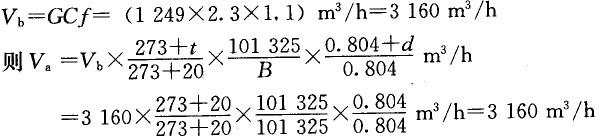
A
3160
B
3560
C
3240
D
3370
查看答案
正确答案
答案解析
相关试题
首页
每日一练
打赏一下
浏览记录