试题详情
首页
考试分类
首页
公用设备工程师
专业案例(动力专业)
单选题
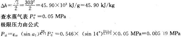
已知汽轮机低压缸次末级级前的蒸汽压力为0.0409MPa,温度为90℃,V0=303m/s,喷嘴叶栅的出口气流角为14°,则该喷嘴的极限压力为( )MPa。
A
0.00253
B
0.00326
C
0.00411
D
0.00549
查看答案
正确答案
答案解析
相关试题
首页
每日一练
打赏一下
浏览记录