试题详情

单选题
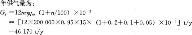
已知某液化石油气供应基地居民20万户,居民生活用气量指标为15kg/(m·户),居民气化率为95%,商业用户用气量占居民生活用气量的20%,小型工业用户用气量占10%,液化石油气燃料汽车用气量占5%,居民和商业用户月用气高峰系数为1.20,小型工业用户和燃料汽车月高峰系数为1.0,则年供气量为( )t/y。

A46170

B45000

C42300

D40050

正确答案

答案解析

相关试题