试题详情
首页
考试分类
首页
公用设备工程师
专业案例(动力专业)
单选题
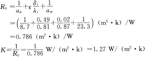
对于北方住宅建筑,外墙采用2砖墙,内抹灰δ=20mm。已知砖墙的导热系数λ=0.81W/(m·k),内抹灰的导热系数λ=O.87W/(m·k),则该外墙的传热系数为( )W/(㎡·k)。
A
0.86
B
0.78
C
1.25
D
1.27
查看答案
正确答案
答案解析
相关试题
首页
每日一练
打赏一下
浏览记录