单选题
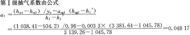
N200-12.75/535/535三缸三排汽机组的第工级高加的出口和进口水焓值分别为1038.41kj/kg和934.20kj/kg.加热蒸汽包括高压缸的轴封汽,轴封汽系数为0.0033,轴封汽焓值为3381.64kj/kg,第Ⅰ级抽气焓值为3139.26kJ/kg.对应汽侧压力下的饱和水焓值为1045.76kj/kg,加热器效率取0.96,则工级抽气系数为( )。
A0.0582
B0.0621
C0.04817
D0.0776
