单选题
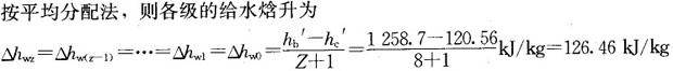
对于N200-12.75/535/535三缸三排汽机组,排汽的凝结水焓为120.56kj/kg,锅炉气仓压力的饱和水焓值为1258.7kj/kg,拟采用8级回热,按平均分配法,各级加热器的给水焓升为( )。
A126.46kj/kg
B1264.6kj/kg
C12.646kj/kg
D12646kj/kg
A126.46kj/kg
B1264.6kj/kg
C12.646kj/kg
D12646kj/kg