试题详情
首页
考试分类
首页
公用设备工程师
基础知识(给排水)
单选题
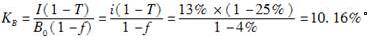
金圣才公司拟发行1000万元债券进行筹资,债券利息率为13%,已知筹资费率为4%,所得税率为25%,则债券的资金成本率为( )。
A
9.54%
B
10.16%
C
11.07%
D
13.02%
查看答案
正确答案
答案解析
相关试题
首页
每日一练
打赏一下
浏览记录