试题详情
首页
考试分类
首页
公用设备工程师
基础知识(给排水)
单选题
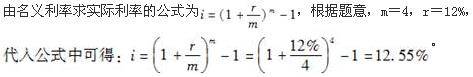
某项贷款年利率12%,每季计息一次,则年实际利率为( )。
A
12%
B
12.48%
C
12.55%
D
12.68%
查看答案
正确答案
答案解析
相关试题
首页
每日一练
打赏一下
浏览记录