试题详情
首页
考试分类
首页
军队文职人员招聘
数学1 (军队文职)
单选题
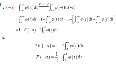
设随机变量X的概率密度函数为φ(x),且已知φ(-x)=φ(x),F(x)为X的分布函数,则对任意实数a,有( )。
A
A
B
B
C
C
D
D
查看答案
正确答案
答案解析
相关试题
首页
每日一练
打赏一下
浏览记录