试题详情
首页
考试分类
首页
军队文职人员招聘
数学1 (军队文职)
单选题
A
连续
B
有可去间断点
C
有跳跃间断点
D
有无穷间断点
查看答案
正确答案
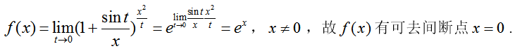
答案解析
相关试题
首页
每日一练
打赏一下
浏览记录