试题详情
首页
考试分类
首页
军队文职人员招聘
数学2 (军队文职)
单选题
设
,则( )。
A
a=1,b=-5/2
B
a=0,b=-2
C
a=0,b=-5/2
D
a=1,b=-2
查看答案
正确答案
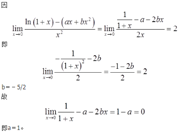
答案解析
相关试题
首页
每日一练
打赏一下
浏览记录