试题详情
首页
考试分类
首页
军队文职人员招聘
物理 (军队文职)
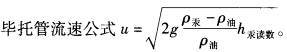
单选题
A
4.34
B
4.25
C
4.47
D
4.00
查看答案
正确答案
答案解析
相关试题
首页
每日一练
打赏一下
浏览记录