试题详情
首页
考试分类
首页
军队文职人员招聘
物理 (军队文职)
单选题
A
增大
B
减小
C
不变
D
条件不足,无法确定
查看答案
正确答案
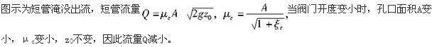
答案解析
相关试题
首页
每日一练
打赏一下
浏览记录