试题详情
首页
考试分类
首页
成考(专升本)
高等数学一(专升本)
单选题
A
0
B
1
C
3
D
6
查看答案
正确答案
答案解析
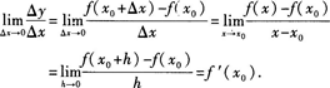
所给问题为导数定义的问题,由导数定义可知
故选C.【评析】导数定义的问题通常考虑y=f(x)在点x0处导数的定义的标准形式与等价形式
相关试题
首页
每日一练
打赏一下
浏览记录