试题详情
首页
考试分类
首页
成考(专升本)
高等数学一(专升本)
单选题
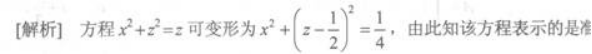
在空间直角坐标系中,方程x2+z2=z的图形是()
A
圆柱面
B
圆
C
抛物线
D
旋转抛物面
查看答案
正确答案
答案解析
线为圆、母线平行于y轴的圆柱面.
相关试题
首页
每日一练
打赏一下
浏览记录