试题详情
首页
考试分类
首页
成考(专升本)
高等数学一(专升本)
单选题
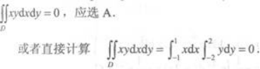
设区域D={(x,y)|-1≤x≤1,-2≤y≤2),
A
0
B
2
C
4
D
8
查看答案
正确答案
答案解析
积分区域关于y轴对称,被积函数xy为X的奇函数,可知
相关试题
首页
每日一练
打赏一下
浏览记录