试题详情
首页
考试分类
首页
成考(专升本)
高等数学一(专升本)
单选题
A
收敛且和为0
B
收敛且和为a
C
收敛且和为a-a1
D
发散
查看答案
正确答案
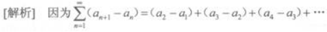
答案解析
相关试题
首页
每日一练
打赏一下
浏览记录