试题详情
首页
考试分类
首页
成考(专升本)
高等数学一(专升本)
单选题
微分方程y"+y=0的通解为y=[]
A
e-x+C
B
-e-x+C
C
Ce-x
D
Cex
查看答案
正确答案
答案解析
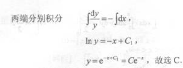
所给方程为可分离变量方程.
相关试题
首页
每日一练
打赏一下
浏览记录