试题详情
首页
考试分类
首页
成考(专升本)
高等数学一(专升本)
单选题
A
A
B
B
C
C
D
D
查看答案
正确答案
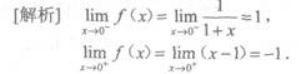
答案解析
相关试题
首页
每日一练
打赏一下
浏览记录