试题详情
首页
考试分类
首页
成考(专升本)
高等数学一(专升本)
单选题
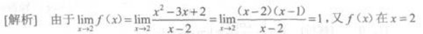
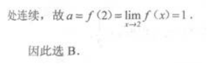
设f(x)在点x=2处连续,
( )
A
0
B
1
C
2
D
任意值
查看答案
正确答案
答案解析
相关试题
首页
每日一练
打赏一下
浏览记录