试题详情
首页
考试分类
首页
成考(专升本)
高等数学二(专升本)
单选题
A
0
B
-1
C
-3
D
-5
查看答案
正确答案
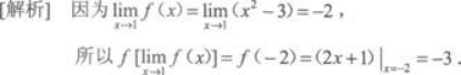
答案解析
相关试题
首页
每日一练
打赏一下
浏览记录