试题详情
首页
考试分类
首页
成考(专升本)
高等数学二(专升本)
单选题
A
(-∞,0)
B
(0,1)
C
(1,e)
D
(e,+∞)
查看答案
正确答案
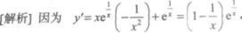
答案解析
相关试题
首页
每日一练
打赏一下
浏览记录