试题详情
首页
考试分类
首页
成考(专升本)
高等数学二(专升本)
单选题
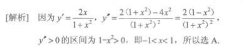
函数曲线y=1n(1+x2)的凹区间是()
A
(-1,1)
B
(-∞,-1)
C
(1,+∞)
D
(-∞,+∞)
查看答案
正确答案
答案解析
相关试题
首页
每日一练
打赏一下
浏览记录