试题详情
首页
考试分类
首页
研究生入学
数学二(研究生)
单选题
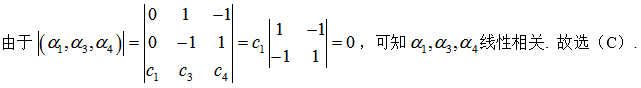
设
其中
为任意常数,则下列向量组线性相关的是( )
A
a1,a2,a3
B
a1,a2,a4
C
a1,a3,a4
D
a2,a3,a4
查看答案
正确答案
答案解析
相关试题
首页
每日一练
打赏一下
浏览记录