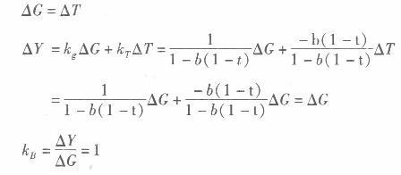
平衡预算乘数指政府收入和支出同时以相等数量增加或减小时国民收入变动对政府收入变动的比率。假设政府购买和税收各增加同一数量,即:无论在定量税还是比例税下,平衡预算乘数均为1。根据平衡预算乘数,可以把财政政策的作用归纳为三种情况:①政府在增加支出的同时减少税收,将对国民收入有巨大的促进作用;②政府在增加支出的同时增加税收,保持平衡,对国民收入的影响较小;③政府在减少支出的同时增加税收,将会抑制国民收入的增长。
问答题
平衡预算乘数
正确答案
答案解析
略
无论在定量税还是比例税下,平衡预算乘数均为1。根据平衡预算乘数,可以把财政政策的作用归纳为三种情况:①政府在增加支出的同时减少税收,将对国民收入有巨大的促进作用;②政府在增加支出的同时增加税收,保持平衡,对国民收入的影响较小;③政府在减少支出的同时增加税收,将会抑制国民收入的增长。