试题详情
首页
考试分类
首页
研究生入学
199管理类联考综合
单选题
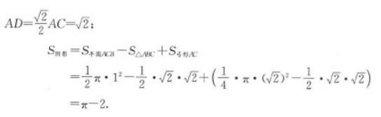
如图6-15所示,正方形ABCD的对角线∣AC∣=2厘米,扇形ACB是以AC为直径的半圆,扇形DAC是以D为圆心,AD为半径的圆的一部分,则阴影部分的面积为( )
A
π-1
B
π-2
C
π+1
D
π+2
E
π
查看答案
正确答案
答案解析
相关试题
首页
每日一练
打赏一下
浏览记录