试题详情
首页
考试分类
首页
研究生入学
199管理类联考综合
单选题
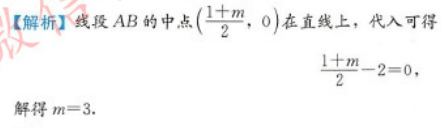
已知三点A(1,-2),B(m,2),且线段AB的垂直平分线的方程是x+2y-2=0,则实数m的值为( )
A
-2
B
-7
C
3
D
1
E
2
查看答案
正确答案
答案解析
相关试题
首页
每日一练
打赏一下
浏览记录