试题详情
首页
考试分类
首页
研究生入学
199管理类联考综合
单选题
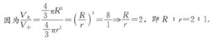
现有一大球一小球,若将大球中的1/8溶液倒入小球中,正巧可装满小球,那么大球与小球的半径之比等于( )。
A
A
B
B
C
C
D
D
E
E
查看答案
正确答案
答案解析
相关试题
首页
每日一练
打赏一下
浏览记录