试题详情
首页
考试分类
首页
研究生入学
199管理类联考综合
单选题
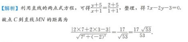
已知点C(2,-3),M(1,2),N(-1,-5),则点C到直线MN的距离等于( )
A
A
B
B
C
C
D
D
E
E
查看答案
正确答案
答案解析
相关试题
首页
每日一练
打赏一下
浏览记录