单选题
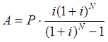
设某船的资本成本为P,预计租赁N年,收益率为i,则船舶每年租赁费A为( )。
AA
BB
CC
DD
正确答案
答案解析
租金的计算经常采用的是每年资本费用或年金法。每年资本费用或年金法是用现金流量贴现技术确定每年的资本成本,将现金支出在船舶使用年限中进行分摊。这一方法的设计思想是使出租人在租赁期间的每年成本相同,据以确定应收租金额。其计算方法如下:设某船舶的资本成本为P,预计租赁N年,预计收益率为i,则该船舶每年租赁费为:
