单选题
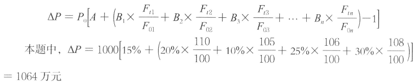
某工程约定当价格波动超过一定范围时根据价格调整公式调整合同价。已知小调整部分占合同总价的15%,可以调整部分有人工费、运输费、钢筋价格、混凝土价格,其占合同总价的比例分别为20%、10%、25%和30%。基准日期的价格指数均为100,结算时采用的价格指数分别为110、105、106、108。若结算当月完成的合同额1000万元,则调整后的合同金额为( )万元。
A914
B1059
C1064
D1137
正确答案
答案解析
2020版教材P267 / 2019版教材P261 因人工、材料和设备等价格波动影响合同价格时,根据专用合同条款中约定的数据,按以下公式计算差额并调整合同价格 :
